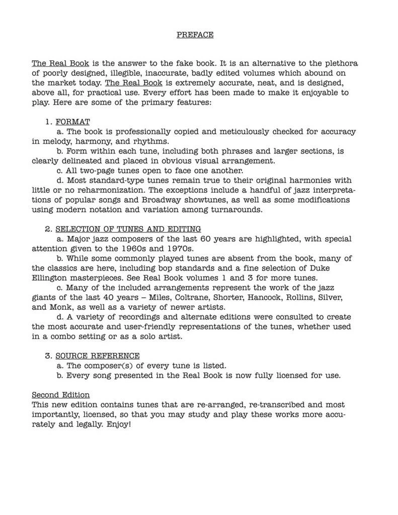
Titel:
1. I Get Along Without You Very Well (Except Sometimes)
2. If I Should Lose You
3. Gravy Waltz
4. Joyce's Samba
5. Work Song
6. All Alone (Left Alone)
7. Strode Rode
8. A Flower Is A Lovesome Thing
9. Lotus Blossom
10. Circle
11. Parisian Thoroughfare
12. Dance Of The Infidels
13. Shine
14. Memories Of You
15. Straight Life
16. North Atlantic Run
17. Out Back Of The Barn
18. Air Mail Special
19. You Are Beautiful
20. Blues By Five
21. Blue Serge
22. Feels So Good
23. The Kicker
24. Syeeda's Song Flute
25. Quicksilver
26. One By One
27. I'm A Fool To Want You
28. Until I Met You (Corner Pocket)
29. Azure
30. Shutterbug
31. Einbahnstrasse
32. First Trip
33. I Remember Bird
34. Wendy
35. Barbara
36. Pannonica
37. A Walkin' Thing
38. Two Degrees East, Three Degrees West
39. Birk's Works
40. A Ballad
41. Sippin' At Bells
42. Crazeology
43. Manteca
44. You'Re My Everything
45. Warm Valley
46. Jingles
47. Adam's Apple
48. Down For Double
49. Let's Get Lost
50. Day by Day
51. Avalon
52. Take The Coltrane
53. Ba-Lue Bolivar Ba-Lues-Are (Bolivar Blues)
54. Brilliant Corners
55. Criss Cross
56. Hackensack
57. Let's Cool One
58. Little Rootie Tootie
59. Rhythm-a-ning
60. Ran Kan Kan
61. Idol Gossip
62. Cantelope Island
63. Humpty Dumpty
64. Picadillo (a la Puente)
65. The Champ
66. Ask Me Now
67. Jump, Jive An' Wail
68. You Can Depend On Me
69. The Cooker
70. Sack Of Woe
71. Serene
72. Close Your Eyes
73. Nature Boy
74. Farmer's Trust
75. Lakes
76. Lone Jack
77. Question & Answer
78. The Red One
79. Song For Bilbao
80. Watercolors
81. The Whopper
82. Caravan
83. Moanin'
84. EPILOGUE
85. More Than You Know
86. Crosscurrent
87. Mr. Magic
88. Speak Like A Child
89. Move
90. Lady Day
91. The Frim Fram Sauce
92. Just A Settin' And A Rockin'
93. Petits Machins
94. Another Star
95. Are You Havin' Any Fun?
96. Comin' Home Baby
97. Dexter Rides Again
98. Blow Mr. Dexter
99. Wow
100. Monk's Shop
101. Blue Seven
102. Head And Shoulders
103. Hocus-pocus
104. Night Song
105. Baby, It's Cold Outside
106. St. Louis Blues
107. Bags' Groove
108. Buster Rides Again
109. Blue Silver
110. In Pursuit Of The 27th Man
111. Love Vibrations
112. Serenade To A Soul Sister
113. The Jody Grind
114. Tippin'
115. Leila
116. Hummin'
117. The Core
118. Three Base Hit
119. April Skies
120. Better Leave It Alone
121. Bright Boy
122. Bunko
123. Elora
124. Fox Hunt
125. Funky
126. Gettin' It Togetha
127. Jackie
128. Minor Mishap
129. Minor Mood
130. No Moe
131. One Foot In The Gutter
132. Trane's Blues
133. Turnaround
134. Soultrane
135. Bags And Trane
136. The Thumper
137. Ezz-thetic
138. Little Chicago Fire
139. Simone
140. Kids Are Pretty People
141. Hi Beck
142. Bali Ha'I
143. Ice Cream Konitz
144. Kary's Trance
145. No Splice
146. Subconscious Lee
147. Limbo
148. Lonely Dreams
149. Bohemia After Dark
150. Now See How You Are
151. Baltimore Oriole
152. It's So Peaceful In The Country
153. Holy Land
154. Rubberneck
155. Duff
156. Happy Little Sunbeam
157. Alto Itis
158. The Drive
159. Teenie's Blues
160. Barbados
161. Bill's Hit Tune
162. Blues For Wood
163. Candy
164. Ablution
165. Round Trip
166. Strayhorn 2
167. Basin Street Blues
168. Eye Of The Hurricane
169. Be-bop
170. I Believe In You
171. Prisoner Of Love
172. Beyond The Sea
173. Big P
174. Billie's Bounce (Bill's Bounce)
175. Billie's Blues (I Love My Man)
176. Bird Feathers
177. Birdland
178. The Birth Of The Blues
179. Black And Tan Fantasy
180. Blame It On My Youth
181. Bloomdido
182. Blue 'N Boogie
183. Blue Skies
184. Just A Few
185. Blues In The Closet
186. Blues March
187. This I Dig Of You
188. Booker's Waltz
189. Grooveyard
190. Honeysuckle Rose
191. Brian's Song
192. Look For The Silver Lining
193. Budo
194. Russian Lullaby
195. Saint James Infirmary
196. Bye Bye Blackbird
197. Cast Your Fate To The Wind
198. Chameleon
199. Cool Blues
200. Smoke Rings
201. Chasin' The Trane
202. Cheesecake
203. Morning Dance
204. Monk's Mood
205. Perdido
206. Right As Rain
207. September Song
208. Come Rain Or Come Shine
209. Cousin Mary
210. Dat Dere
211. Dewey Square
212. Dinah
213. Dindi
214. Do I Love You Because You'Re Beautiful?
215. Do Nothin' Till You Hear From Me
216. Do You Know What It Means To Miss New Orleans
217. Don't Explain
218. Doxy
219. Fever
220. Just the way you are
221. Early Autumn
222. Tempus Fugit
223. Emancipation Blues
224. Watch What Happens
225. Stardust
226. Everything I Have Is Yours
227. Five Brothers
228. Five Spot After Dark
229. Fly Me To The Moon (In Other Words)
230. Flying Home
231. The Folks Who Live On The Hill
232. Strollin'
233. Spiral
234. Four Brothers
235. Frenesí
236. Georgia On My Mind
237. Get Me To The Church On Time
238. Get Out Of Town
239. I Don't Stand A Ghost Of A Chance With You
240. Ho-Ba-La-La
241. Hi-Fly
242. The Hucklebuck
243. I Have Dreamed
244. I Remember You
245. I Thought About You
246. I Will Wait For You
247. I Wish I Didn't Love You So
248. I'll Know
249. I'm Confessin' (That I Love You)
250. I'm Just A Lucky So And So
251. I'm Putting All My Eggs In One Basket
252. I'Ve Found A New Baby (I Found A New Baby)
253. I'Ve Told Ev'Ry Little Star
254. If I Loved You
255. If I Were A Bell
256. Imagination
257. In Case You Haven't Heard
258. In The Still Of The Night
259. Indiana (Back Home Again In Indiana)
260. Infant Eyes
261. Island Birdie
262. It Could Happen To You
263. It Might As Well Be Spring
264. It's A Blue World
265. It's All Right With Me
266. It's Only A Paper Moon
267. Jeannine
268. Jitterbug Waltz
269. Jumpin' With Symphony Sid
270. June Is Bustin' Out All Over
271. Just In Time
272. Katrina Ballerina
273. Killer Joe
274. Last Night When We Were Young
275. The Last Time I Saw Paris
276. Lennie's Pennies
277. Let's Fall In Love
278. Like Sonny (Simple Like)
279. Like Young
280. Little Sunflower
281. Locomotion
282. Love Is Just Around The Corner
283. Love, Look Away
284. A Lovely Way To Spend An Evening
285. Lover
286. Lover Man (Oh, Where Can You Be?)
287. Make Someone Happy
288. At The Mambo Inn
289. Mercy, Mercy, Mercy
290. Miles Ahead
291. Moonglow
292. Moon Rays
293. Moon River
294. Moose The Mooche
295. Moten Swing
296. My Attorney Bernie
297. (All Of A Sudden) My Heart Sings
298. My Little Suede Shoes
299. My Old Flame
300. The Nearness of You
301. Now's The Time
302. Nutville
303. Oh, What A Beautiful Mornin'
304. Old Devil Moon
305. On The Sunny Side Of The Street
306. One Morning in May
307. Our Language Of Love
308. Oye Como Va
309. Peel Me A Grape
310. Pennies from Heaven
311. People Will Say We'Re In Love
312. Petite Fleur
313. Pick Yourself Up
314. Polka Dots and Moonbeams
315. Pursuance
316. The Gift! (Recado Bossa Nova)
317. Red Cross
318. Robbin's Nest
319. Rockin' In Rhythm
320. Rosetta
321. Route 66
322. S'Posin'
323. Salt Peanuts
324. Say It (Over And Over Again)
325. Sentimental Journey
326. Skyliner
327. Smoke Gets In Your Eyes
328. Softly As In A Morning Sunrise
329. Some Other Blues
330. Songbird (Thank You For Your Lovely Song)
331. Soul Eyes
332. Speak Low
333. St. Thomas
334. Struttin' With Some Barbecue
335. Suddenly It's Spring
336. Sweet Sue-Just You
337. The Sweetest Sounds
338. The Swingin' Shepherd Blues
339. Tain't What You Do (It's The Way That Cha Do It)
340. Tanga
341. Tangerine
342. Tenderly
343. There's A Small Hotel
344. These Foolish Things (Remind Me Of You)
345. The Things We Did Last Summer
346. This Masquerade
347. This Year's Kisses
348. Till There Was You
349. Tomorrow's Destiny
350. Too Young
351. Twisted
352. Two Cigarettes In The Dark
353. It Will Have To Do Until The Real Thing Comes Along (Until The Real Thing Comes Along)
354. Walkin' Shoes
355. The Way You Look Tonight
356. What'll I Do?
357. What'S New?
358. Whisper Not
359. Who Can I Turn To (When Nobody Needs Me)
360. Why Do I Love You?
361. Willow Weep For Me
362. With A Song In My Heart
363. Without A Song
364. A Wonderful Day Like Today
365. Eclypso
366. Yardbird Suite
367. Things To Come
368. 52nd Street Theme
369. Phase Dance
370. Didn't We
371. You'D Be So Nice To Come Home To
372. You're Nobody 'Til Somebody Loves You
373. A Portrait Of Jenny
374. Theme From Mr. Broadway
375. Tenor Madness
376. Freight Trane
377. Affirmation
378. Bouncing With Bud
379. Hallucinations
380. Havona
381. In Walked Bud
382. Off Minor
383. Sandu
384. A Weaver Of Dreams
385. Cold Duck Time
386. Filthy McNasty
387. Gregory Is Here
388. Horace Scope
389. Silver's Serenade
390. Summer In Central Park
391. Webb City
392. Alfie's Theme
393. Girl Talk
394. C-jam Blues
395. Estate
396. Slipped Disc
397. Menina Flor
398. When Lights Are Low
399. Crepuscule
400. I Hear A Rhapsody